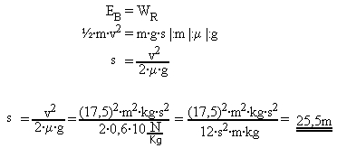
Aufgabe 2a)